2023-02-12
来源:河南省中职网
时间:2025-06-24 21:39:31
阅读:0次
河南2025高考一分一档表即将出炉
你准备好了吗?
先来一波"回忆杀"
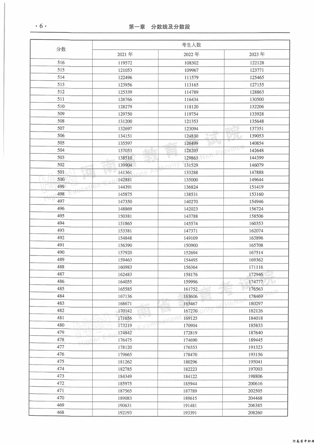
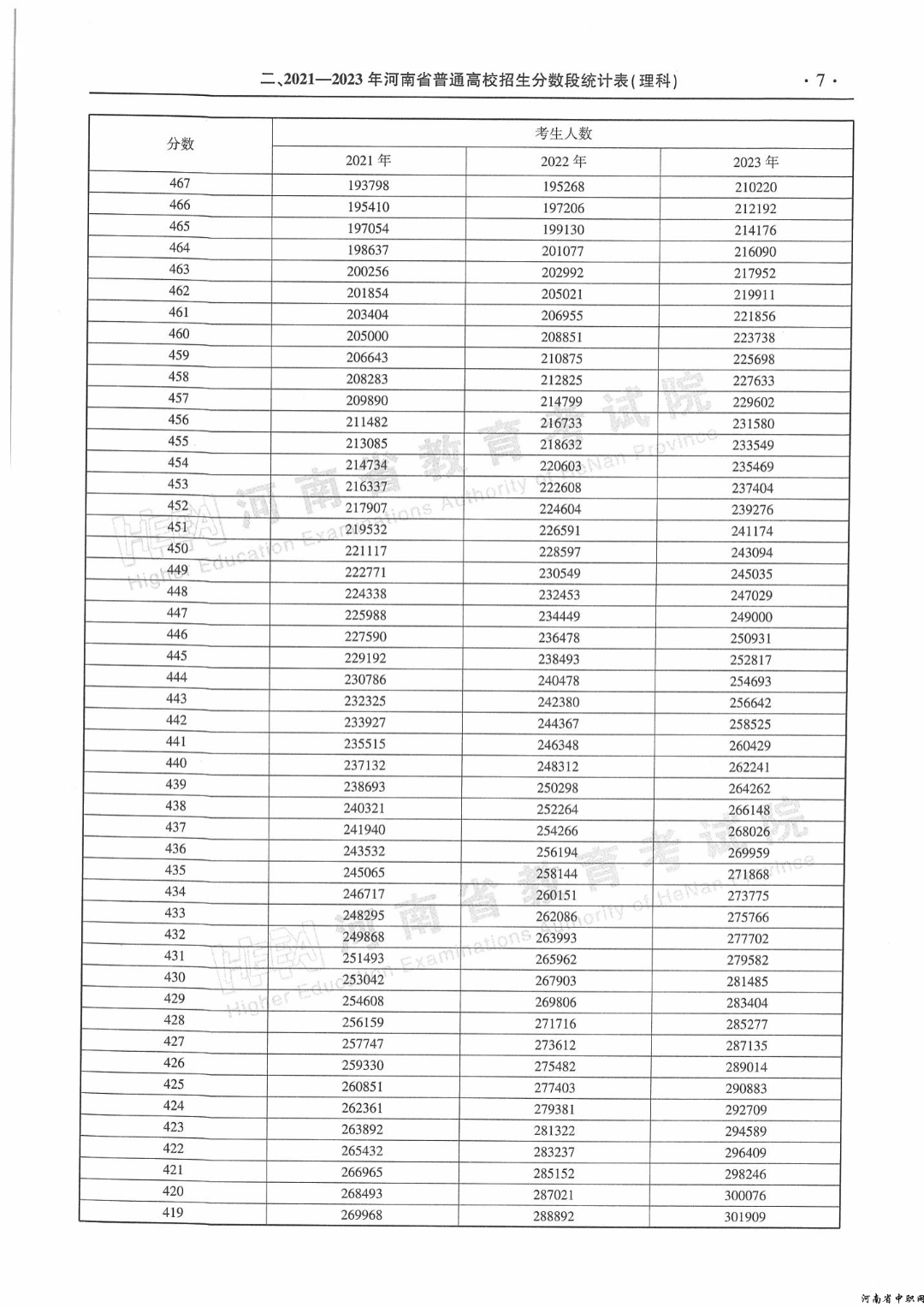
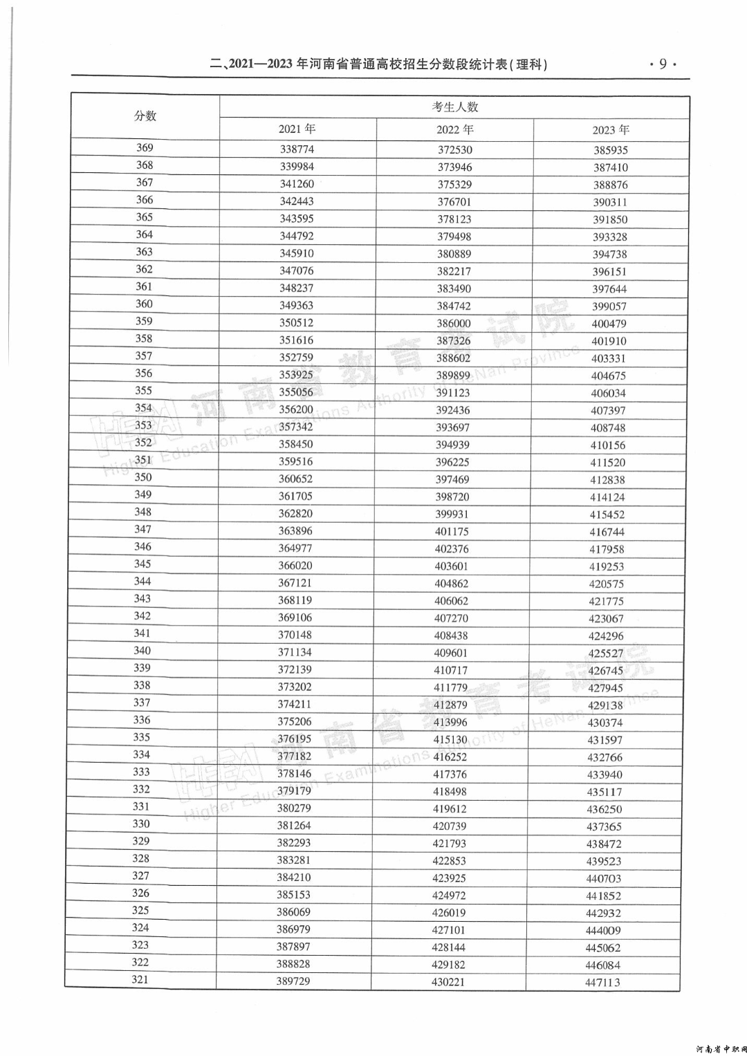
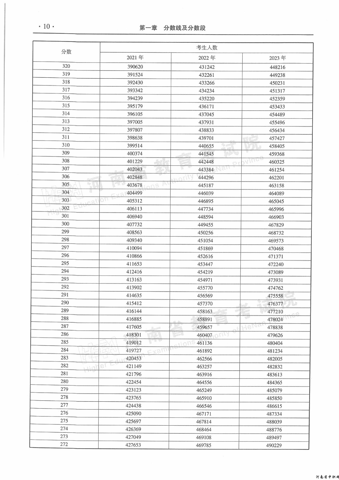
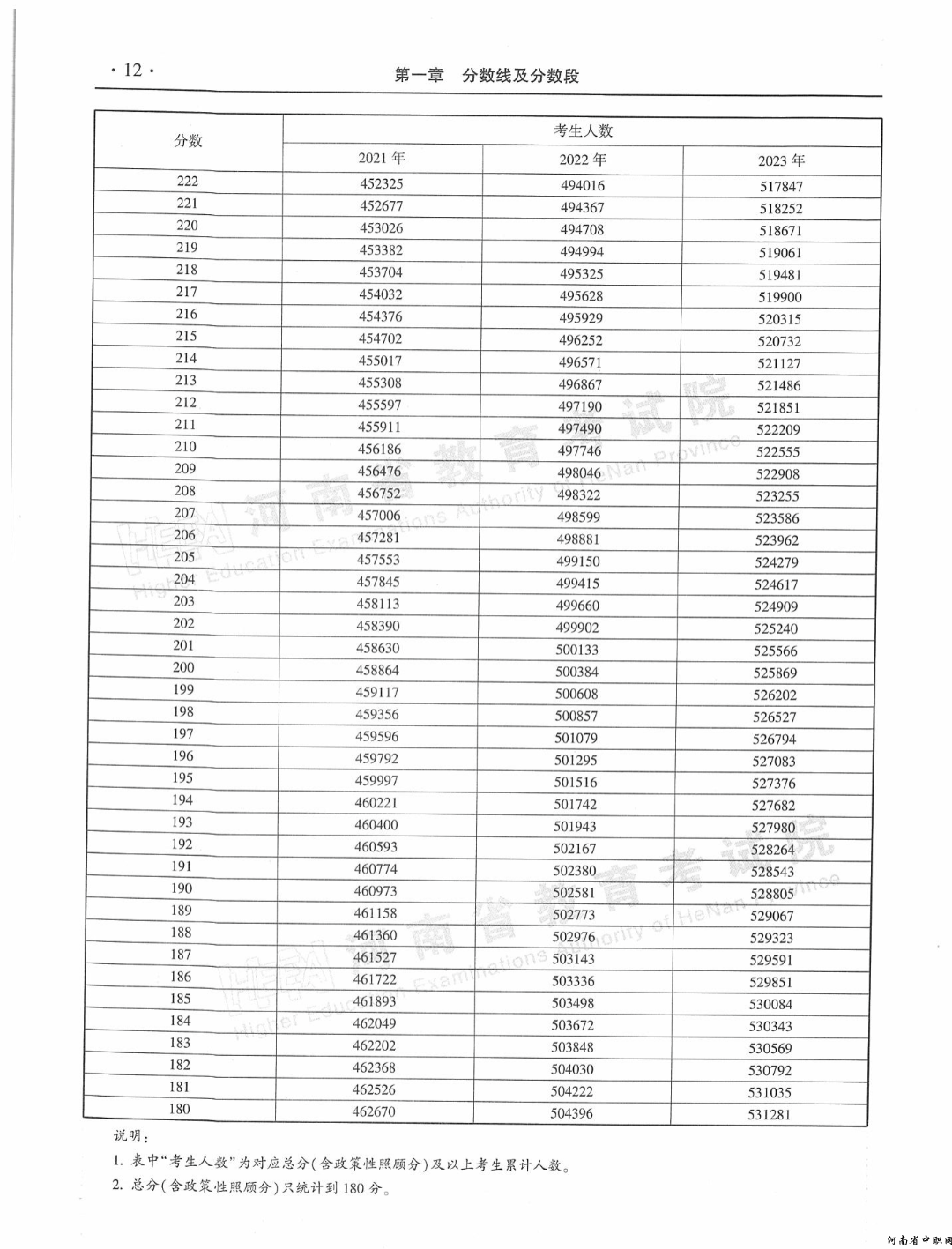
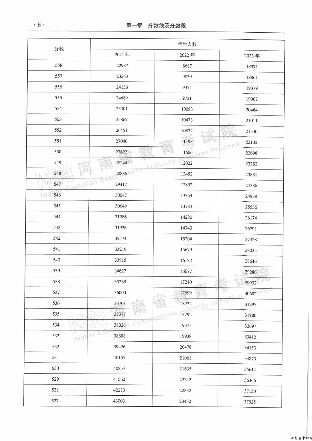
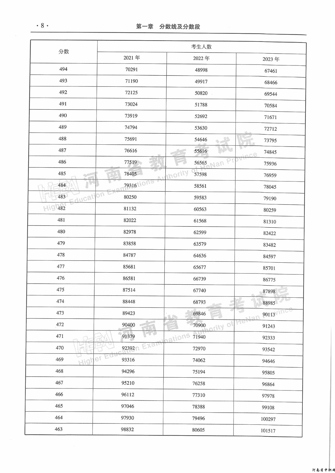
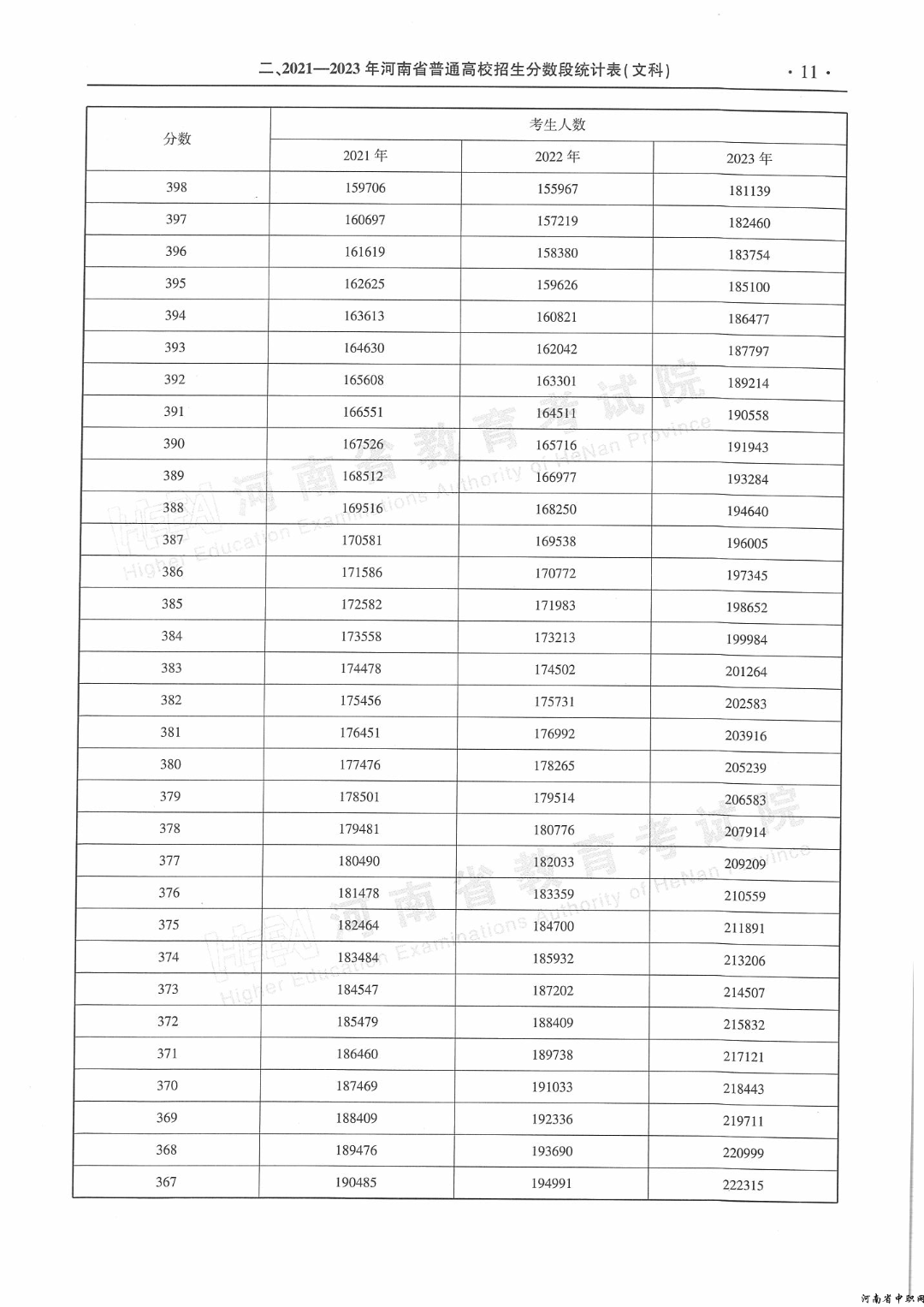
小编整理了近四年(2021-2024年)的
一分一段表数据
建议转发收藏
今年新高考填报志愿时
可以参考呦

















图源:河南省教育考试院(下同)



























“一分一段表”是考生
填报高考志愿的重要参考数据
今年我省将按照首选科目历史、物理
分别公布历史类、物理类
高考文化成绩分数段统计表

预计今天河南2025新高考省控线公布

今年我省普通高校招生将按照普通类、艺术类、体育类,分别划定批次录取控制分数线。且与往年不同,普通类本科分数线不再区分本科一批、本科二批。
根据考生高考文化总成绩(含照顾政策分值),区分首选科目,按照本科、高职(专科)招生计划的一定比例,分别划定历史类、物理类的特殊类型录取控制分数线和本科、高职(专科)批次的录取控制分数线。其中,特殊类型录取控制分数线用于强基计划、军队招飞、高校专项计划等类型招生。国家专项计划和地方专项计划均执行普通本科批录取控制分数线。
根据教育部相关要求和各科类考生高考文化总成绩、专业省级统考成绩,区分首选科目,按照本科、高职(专科)招生计划的一定比例,分别划定各科类本科、高职(专科)批次的高考文化成绩和专业省级统考成绩录取控制分数线。经批准使用校考成绩、戏曲类省际联考成绩作为专业考试成绩的专业,录取控制分数线的划定按教育部有关规定执行。
根据教育部相关要求和考生高考文化总成绩、专业省级统考成绩,区分首选科目,按照本科、高职(专科)招生计划的一定比例,分别划定本科、高职(专科)批次的高考文化成绩和专业省级统考成绩录取控制分数线。
快速登记
最新招考信息更多
2023-02-12
2023-02-14
2023-02-16
2023-02-16
2023-02-16
2023-02-16